New Product Express | Membrane Solutions Prism TM 50 Tangential Flow Cassette
2023-10-12
MS
50
Tangential flow filtration is one of the key separation and purification technologies in the biopharmaceutical process. It is widely used in the fields of antibody, vaccine, gene and cell therapy and nucleic acid drugs, and is the main means of drug molecular concentration and buffer replacement. In this article, we will take you to have a brief understanding of the relevant knowledge of tangential flow filtration, and introduce the company's latest product Prism TM 50 tangential flow cassette.
About the Tangential Flow Filtration
Tangential flow filtration, also known as crossflow filtration and direct flow filtration, also known as dead-end filtration, are two forms of filtration, in which direct flow filtration refers to the flow direction of the feed liquid perpendicular to the filter medium, where all liquids pass through the filter medium and particles are trapped inside or on the surface of the filter membrane; crossflow filtration refers to the process of a small portion of liquid passing through the filter medium in a tangential (parallel) direction to the surface of the membrane, and the trapped particles are "swept" from the surface of the membrane. Therefore, this mode of operation effectively alleviates the accumulation of large particles and molecules on the membrane, which makes this mode of operation have unique advantages in many applications.
Schematic Diagram of A dead-end Filtration and B Tangential Flow Filtration(Image Source: UCL)
Schematic Diagram of Traditional Tangential Flow Filtration(Image Source: Applied and environmental microbiology)
About Membrane Solutions Prism TM 50 Tangential Flow Cassette
The current TFF devices on the market are often too large, expensive, and complex, making them unsuitable for small-scale laboratory operations. If you want to process 100ml-3L samples, you may need to spend a lot of time and effort optimizing parameters, cleaning disinfection equipment, and treating waste liquid. These cumbersome steps not only affect experimental efficiency, but also increase your experimental costs.
To address this issue, Membrane Solutions has launched a small PRISM TM 50 tangential flow cassette specifically designed for laboratories, which can provide customers with simple, fast, economical, efficient, reliable, and flexible TFF solutions. The PRISM TM 50 tangential flow cassette is a disposable, easy-to-use tangential flow device that utilizes high-performance hydrophilic PES ultrafiltration membranes, with a variety of different molecular weights cutoff (MWCO) ranging from 1 to 100 kDa (eg: 1kDa, 3kDa, 5kDa, 10kDa, 20kDa, 30kDa, 50kDa, 100kDa), suitable for various target molecules and application scenarios, with high protein recovery rate, and high stable water flux.
![]() |
![]() |
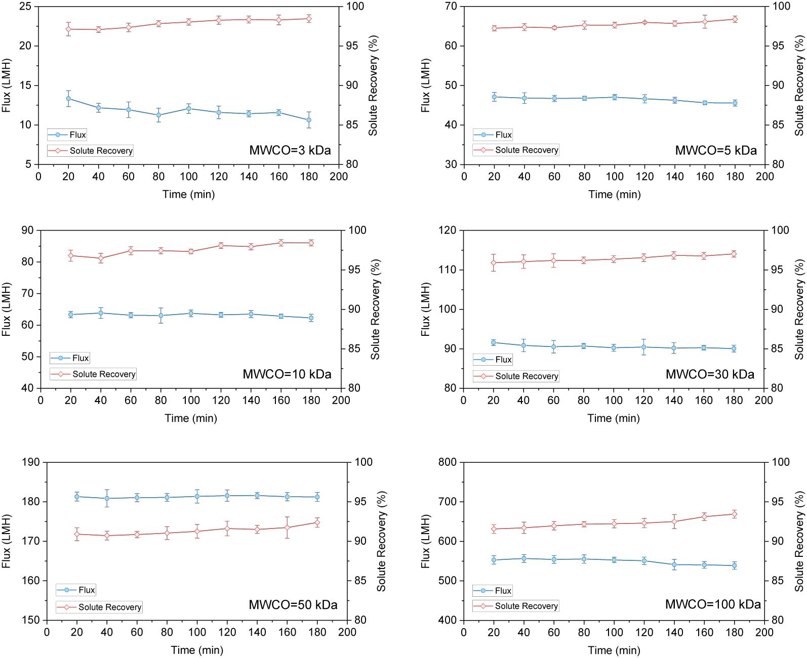
Here are four different concentrations of protein solutions we have prepared, including lysozyme, 0.25mg/mL (14000MW), ovalbumin, 1.0mg/mL (42000MW), BSA, 1.0mg/mL (66000MW) γ globulin, 1.0mg/mL (150000MW), etc., were intercepted with PRISM TM 50 tangential flow cassette of our one cassette and three cassette with different MWCO. Under the experimental conditions, the concentration was 20 times at the inlet pressure of 3 bar, 20 ℃, and the average direct recovery rate was more than 94%. Under the condition of 10mL washing, the average recovery rate reached more than 98%. The overall recovery of pure water flux in the process was very stable, and there was no obvious downward trend.
| One Cassette | Three Cassette | |||
| 250 mL Initial Volume | 1L Initial Volume | Recovery(Direct) | Recovery(10 mL rinse) | |
| Lysozyme, 0.25mg/mL(14,000MW) | ||||
| 3,000 MWCO PES | 38 min | 49 min | 97% | >99% |
| 5,000 MWCO PES | 30 min | 41 min | 96% | >99% |
| Ovalbumin, 1.0mg/mL(42,000MW) | ||||
| 10,000 MWCO PES | 27 min | 35 min | 95% | 98% |
| BSA, 1.0mg/mL(66,000MW) | ||||
| 10,000 MWCO PES | 28 min | 37 min | 94% | 99% |
| 30,000 MWCO PES | 25min | 35 min | 92% | 98% |
| 50,000 MWCO PES | 22 min | 32 min | 92% | 98% |
| γ Globulins, 1.0mg/mL(150,000MW) | ||||
| 100,000 MWCO PES | 45 min | 63 min | 92% | 98% |
Pure Water Flux and Protein Retention(The test pressure is 3bar and the test temperature is 20℃)
Multi-module Operation of PRISM TM 50 Tangential Flow Cassette
The effective area of a single PRISM TM 50 tangential flow cassette is 50cm ², which can process 100ml-3L samples and increase the processing speed or volume by connecting multiple cassettes in series. The PRISM TM 50 tangential flow cassette also features a unique flipped flow path design, which can fully utilize the membrane surface area and provide maximum tangential flow velocity, thereby achieving high flux, low adsorption, and high recovery ultrafiltration effects.
Single Module |
![]() |
Figure 1 Single Module Operation
Single module
- Set up the system as shown in Figure 1. Note the position of the throttle device on the return line.
- Prism Membranes contain trace amounts of glycerol and sodium azide. To remove these chemicals and check the safety of pipe connections, flushing the module is recommended.
- Place 500ml of deionized water into an appropriate filtrate container, check the infusion tube connection point for leakage, run the system, start cleaning, and test the full pressure system before introducing the sample.
- Let 400ml pass into the filtrate container. Check the pipe connection point for leaks. Drain the system, empty or replace the filtrate container. The system is now readily available.
Figure 2 Multi-module Operation
Series module
- As set out in Figure 2, set up the system. Connect the required number of modules by sliding the tongue and the groove edges together. Note the position of the flow regulator on the return line.
- Use a series interconnect to connect the required modules.
- The flow path of the system can be combined with various samples. Very low viscosity solutions can shorten time and improve filtration efficiency. Clean the system according to the details under the individual module operation.
The modular design of PrismTM 50 enables the operation of multiple cassettes in series. This increases the maximum throughput to up to 3L and accelerates processing speed in proportion to the membrane area (See the figure below)
Precise scale-up in process speed when using one to four PrismTM 50 cassettes
Operation of PRISM TM 50 Tangential Flow Cassette
The PRISMTM 50 tangential flow cassette is very simple and easy to use, just connect a laboratory peristaltic pump and a 16 hose pump head to start running. Without the need for complex parameter settings and optimization, simply adjust the pump speed and pressure to control the filtration rate and concentration level. No need for cleaning and disinfection, directly discard after use, saving time and cost. Whether it is the concentration, purification, desalination of raw materials or buffer exchange, our PRISMTM 50 tangential flow cassette can help you quickly complete tasks and improve experimental efficiency.

Advantages and Characteristics of PRISM TM 50 Tangential Flow Cassette:
- Prism™ 50 tangential flow cassette with ready-to-use design, easy to replace
- Prism™ 50 tangential flow cassette with ready-to-use design, quickly achieving efficient material purification or concentration
- Excellent convenience and flexibility, with no special requirements for usage scenarios
- Highly integrated replacement modules design, easy to expand
- Cassette adopts modular design and can be replaced at any time
- Up to 6 cassettes (100-3,000 ml) can be connected in parallel to achieve linear amplification of separation efficiency
- Optimized process design with extremely high efficiency
- Innovative design of internal flow channels with optimized material transfer efficiency
- Wide sample size range, minimal residue and high recovery rate
- High performance membrane medium, efficient and stable
- Multiple molecular weight cut-off (MWCO) options
- Hydrophilic PES membrane is sturdy and durable, with extremely low levels of dissolved matter and wide chemical compatibility
- Enhanced verification ensures safety and reliability
- Ultra-high air tightness, low dissolved matter and wide chemical compatibility
- The biosafety indicators have been fully verified and meet the latest biopharmaceutical safety standards
The above characteristics enable the Prism™ 50 tangential flow cassette to adapt to a wider range of biological molecules with higher quality requirements, covering various types of biological molecules from peptides to antibodies to viruses. And the cassette adopts a more convenient and fast connection method, without the need for T-joints, pressure indicators, and other accessories. Simply connect the cassette directly to the pump pipe, greatly reducing direct contact with the sample to be filtered. This approach enables the cassette to reduce the risk of connection errors and leakage, while saving space and materials. In addition, the Prism™ 50 tangential flow cassette has a higher cost-effectiveness and is more cost-effective compared to similar filters. This advantage enables our product to save customers a lot of experimental costs and provide better performance. If you are interested in our product, please contact us for more information and samples.



